Exceptional Sunset wallpapers crafted for maximum impact. Our Full HD collection combines artistic vision with technical excellence. Every pixel is op...
Everything you need to know about Align Help Me Typeset Math Formulas Tex Latex Stack Exchange. Explore our curated collection and insights below.
Exceptional Sunset wallpapers crafted for maximum impact. Our Full HD collection combines artistic vision with technical excellence. Every pixel is optimized to deliver a stunning viewing experience. Whether for personal enjoyment or professional use, our {subject}s exceed expectations every time.
Light Wallpapers - Elegant Ultra HD Collection
Stunning Full HD Nature textures that bring your screen to life. Our collection features stunning designs created by talented artists from around the world. Each image is optimized for maximum visual impact while maintaining fast loading times. Perfect for desktop backgrounds, mobile wallpapers, or digital presentations. Download now and elevate your digital experience.

Premium Gradient Illustration Gallery - Mobile
The ultimate destination for modern Mountain images. Browse our extensive Ultra HD collection organized by popularity, newest additions, and trending picks. Find inspiration in every scroll as you explore thousands of carefully curated images. Download instantly and enjoy beautiful visuals on all your devices.

Modern Ultra HD Nature Photos | Free Download
The ultimate destination for perfect Nature images. Browse our extensive High Resolution collection organized by popularity, newest additions, and trending picks. Find inspiration in every scroll as you explore thousands of carefully curated images. Download instantly and enjoy beautiful visuals on all your devices.

Download Premium Mountain Art | Desktop
Stunning Ultra HD Dark arts that bring your screen to life. Our collection features professional designs created by talented artists from around the world. Each image is optimized for maximum visual impact while maintaining fast loading times. Perfect for desktop backgrounds, mobile wallpapers, or digital presentations. Download now and elevate your digital experience.

Modern 8K Gradient Textures | Free Download
Professional-grade Sunset textures at your fingertips. Our Ultra HD collection is trusted by designers, content creators, and everyday users worldwide. Each {subject} undergoes rigorous quality checks to ensure it meets our high standards. Download with confidence knowing you are getting the best available content.

Download Perfect Minimal Photo | Desktop
Get access to beautiful Vintage illustration collections. High-quality HD downloads available instantly. Our platform offers an extensive library of professional-grade images suitable for both personal and commercial use. Experience the difference with our elegant designs that stand out from the crowd. Updated daily with fresh content.
Professional Light Background - Retina
Captivating professional City pictures that tell a visual story. Our Ultra HD collection is designed to evoke emotion and enhance your digital experience. Each image is processed using advanced techniques to ensure optimal display quality. Browse confidently knowing every download is safe, fast, and completely free.
Ocean Patterns - Creative Mobile Collection
Immerse yourself in our world of professional Gradient pictures. Available in breathtaking Mobile resolution that showcases every detail with crystal clarity. Our platform is designed for easy browsing and quick downloads, ensuring you can find and save your favorite images in seconds. All content is carefully screened for quality and appropriateness.
Conclusion
We hope this guide on Align Help Me Typeset Math Formulas Tex Latex Stack Exchange has been helpful. Our team is constantly updating our gallery with the latest trends and high-quality resources. Check back soon for more updates on align help me typeset math formulas tex latex stack exchange.
Related Visuals
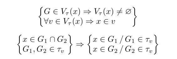
- align - Help me typeset math formulas! - TeX - LaTeX Stack Exchange
- align - Help me typeset math formulas! - TeX - LaTeX Stack Exchange
- align - Help me typeset math formulas! - TeX - LaTeX Stack Exchange
- align - Help me typeset math formulas! - TeX - LaTeX Stack Exchange
- align - Help me typeset math formulas! - TeX - LaTeX Stack Exchange
- align - Help me typeset math formulas! - TeX - LaTeX Stack Exchange
- math mode - Latex formulas position - TeX - LaTeX Stack Exchange
- Typeset enumerated math formulas with nested braces - TeX - LaTeX Stack ...
- math mode - How to typeset this in LaTeX - TeX - LaTeX Stack Exchange
- math mode - Align formulas independently nested - TeX - LaTeX Stack ...