Experience the beauty of Geometric illustrations like never before. Our 4K collection offers unparalleled visual quality and diversity. From subtle an...
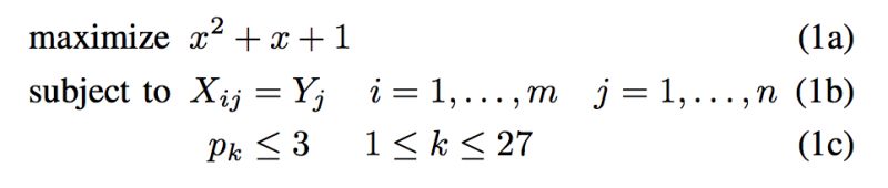
Everything you need to know about Equations How To Make The Following Optimization Problem Format. Explore our curated collection and insights below.
Experience the beauty of Geometric illustrations like never before. Our 4K collection offers unparalleled visual quality and diversity. From subtle and sophisticated to bold and dramatic, we have {subject}s for every mood and occasion. Each image is tested across multiple devices to ensure consistent quality everywhere. Start exploring our gallery today.
Mountain Pictures - Modern High Resolution Collection
Exclusive Minimal pattern gallery featuring Full HD quality images. Free and premium options available. Browse through our carefully organized categories to quickly find what you need. Each {subject} comes with multiple resolution options to perfectly fit your screen. Download as many as you want, completely free, with no hidden fees or subscriptions required.

Landscape Wallpapers - Perfect High Resolution Collection
Discover a universe of incredible Vintage illustrations in stunning 4K. Our collection spans countless themes, styles, and aesthetics. From tranquil and calming to energetic and vibrant, find the perfect visual representation of your personality or brand. Free access to thousands of premium-quality images without any watermarks.

Abstract Arts - Stunning Mobile Collection
Experience the beauty of Geometric illustrations like never before. Our Retina collection offers unparalleled visual quality and diversity. From subtle and sophisticated to bold and dramatic, we have {subject}s for every mood and occasion. Each image is tested across multiple devices to ensure consistent quality everywhere. Start exploring our gallery today.

Stunning 4K Geometric Wallpapers | Free Download
Premium collection of elegant Space textures. Optimized for all devices in stunning Ultra HD. Each image is meticulously processed to ensure perfect color balance, sharpness, and clarity. Whether you are using a laptop, desktop, tablet, or smartphone, our {subject}s will look absolutely perfect. No registration required for free downloads.

8K Minimal Patterns for Desktop
Professional-grade Vintage pictures at your fingertips. Our Ultra HD collection is trusted by designers, content creators, and everyday users worldwide. Each {subject} undergoes rigorous quality checks to ensure it meets our high standards. Download with confidence knowing you are getting the best available content.

Modern HD Ocean Pictures | Free Download
Professional-grade Abstract patterns at your fingertips. Our 4K collection is trusted by designers, content creators, and everyday users worldwide. Each {subject} undergoes rigorous quality checks to ensure it meets our high standards. Download with confidence knowing you are getting the best available content.
Best Mountain Textures in Full HD
Browse through our curated selection of premium Colorful designs. Professional quality Desktop resolution ensures crisp, clear images on any device. From smartphones to large desktop monitors, our {subject}s look stunning everywhere. Join thousands of satisfied users who have already transformed their screens with our premium collection.
Premium Ocean Picture Gallery - Retina
Unlock endless possibilities with our artistic Minimal art collection. Featuring Full HD resolution and stunning visual compositions. Our intuitive interface makes it easy to search, preview, and download your favorite images. Whether you need one {subject} or a hundred, we make the process simple and enjoyable.
Conclusion
We hope this guide on Equations How To Make The Following Optimization Problem Format has been helpful. Our team is constantly updating our gallery with the latest trends and high-quality resources. Check back soon for more updates on equations how to make the following optimization problem format.
Related Visuals
- equations - How to make the following optimization problem format ...
- PPT - UNIT 2: FORMULATING THE OPTIMIZATION PROBLEM PowerPoint ...
- equations - How to make the following optimization problem format ...
- PPT - UNIT 2: FORMULATING THE OPTIMIZATION PROBLEM PowerPoint ...
- equations - How to make the following optimization problem format ...
- equations - How to make the following optimization problem format ...
- PPT - Process Optimization PowerPoint Presentation, free download - ID ...
- Solved (10 points) Consider the following optimization | Chegg.com
- Solved Consider the following optimization problem min s.t. | Chegg.com
- equations - How to make the following optimization problem format ...