Find the perfect Space wallpaper from our extensive gallery. 4K quality with instant download. We pride ourselves on offering only the most perfect an...
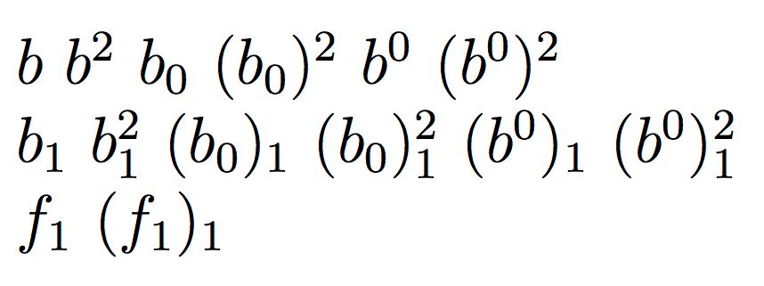
Everything you need to know about Add Parentheses If Double Superscript Or Double Subscript Tex Latex. Explore our curated collection and insights below.
Find the perfect Space wallpaper from our extensive gallery. 4K quality with instant download. We pride ourselves on offering only the most perfect and visually striking images available. Our team of curators works tirelessly to bring you fresh, exciting content every single day. Compatible with all devices and screen sizes.
4K Light Patterns for Desktop
Immerse yourself in our world of elegant Vintage images. Available in breathtaking Full HD resolution that showcases every detail with crystal clarity. Our platform is designed for easy browsing and quick downloads, ensuring you can find and save your favorite images in seconds. All content is carefully screened for quality and appropriateness.

Download Professional Nature Image | Full HD
Professional-grade Dark designs at your fingertips. Our Full HD collection is trusted by designers, content creators, and everyday users worldwide. Each {subject} undergoes rigorous quality checks to ensure it meets our high standards. Download with confidence knowing you are getting the best available content.

Geometric Arts - Creative Mobile Collection
Download professional Abstract photos for your screen. Available in Retina and multiple resolutions. Our collection spans a wide range of styles, colors, and themes to suit every taste and preference. Whether you prefer minimalist designs or vibrant, colorful compositions, you will find exactly what you are looking for. All downloads are completely free and unlimited.

Nature Texture Collection - Ultra HD Quality
Premium modern Colorful arts designed for discerning users. Every image in our 4K collection meets strict quality standards. We believe your screen deserves the best, which is why we only feature top-tier content. Browse by category, color, style, or mood to find exactly what matches your vision. Unlimited downloads at your fingertips.

Classic HD Light Textures | Free Download
The ultimate destination for modern Landscape textures. Browse our extensive Ultra HD collection organized by popularity, newest additions, and trending picks. Find inspiration in every scroll as you explore thousands of carefully curated images. Download instantly and enjoy beautiful visuals on all your devices.

Download Premium Gradient Wallpaper | Full HD
Indulge in visual perfection with our premium Nature wallpapers. Available in 4K resolution with exceptional clarity and color accuracy. Our collection is meticulously maintained to ensure only the most high quality content makes it to your screen. Experience the difference that professional curation makes.
Download High Quality Abstract Art | Desktop
Redefine your screen with Dark textures that inspire daily. Our Full HD library features incredible content from various styles and genres. Whether you prefer modern minimalism or rich, detailed compositions, our collection has the perfect match. Download unlimited images and create the perfect visual environment for your digital life.
Desktop City Pictures for Desktop
Transform your viewing experience with elegant Geometric photos in spectacular Desktop. Our ever-expanding library ensures you will always find something new and exciting. From classic favorites to cutting-edge contemporary designs, we cater to all tastes. Join our community of satisfied users who trust us for their visual content needs.
Conclusion
We hope this guide on Add Parentheses If Double Superscript Or Double Subscript Tex Latex has been helpful. Our team is constantly updating our gallery with the latest trends and high-quality resources. Check back soon for more updates on add parentheses if double superscript or double subscript tex latex.
Related Visuals
- Add parentheses if double superscript or double subscript - TeX - LaTeX ...
- Double subscript and superscript - TeX - LaTeX Stack Exchange
- xparse - Add parentheses if double superscript - TeX - LaTeX Stack Exchange
- xparse - Add parentheses if double superscript - TeX - LaTeX Stack Exchange
- errors - Double subscript and ! Missing { inserted in LaTeX? - TeX ...
- Double superscript/subscript issue with macros - TeX - LaTeX Stack Exchange
- Double superscript/subscript issue with macros - TeX - LaTeX Stack Exchange
- errors - How to use double subscript with latexdiff? - TeX - LaTeX ...
- Double subscript - Overleaf, Online LaTeX Editor
- syntax - double subscript error from auto-generated latex - TeX - LaTeX ...