Stunning 8K Colorful textures that bring your screen to life. Our collection features incredible designs created by talented artists from around the w...
Everything you need to know about Align Equation To Split Equation Or Multiple Split Equations Tex. Explore our curated collection and insights below.
Stunning 8K Colorful textures that bring your screen to life. Our collection features incredible designs created by talented artists from around the world. Each image is optimized for maximum visual impact while maintaining fast loading times. Perfect for desktop backgrounds, mobile wallpapers, or digital presentations. Download now and elevate your digital experience.
Download Stunning Abstract Art | HD
Experience the beauty of Space textures like never before. Our Mobile collection offers unparalleled visual quality and diversity. From subtle and sophisticated to bold and dramatic, we have {subject}s for every mood and occasion. Each image is tested across multiple devices to ensure consistent quality everywhere. Start exploring our gallery today.

Best Geometric Images in 8K
Find the perfect Landscape background from our extensive gallery. HD quality with instant download. We pride ourselves on offering only the most high quality and visually striking images available. Our team of curators works tirelessly to bring you fresh, exciting content every single day. Compatible with all devices and screen sizes.

Download Premium Sunset Wallpaper | Full HD
Transform your screen with professional City pictures. High-resolution 8K downloads available now. Our library contains thousands of unique designs that cater to every aesthetic preference. From professional environments to personal spaces, find the ideal visual enhancement for your device. New additions uploaded weekly to keep your collection fresh.

Download Modern Sunset Image | HD
Discover a universe of stunning Abstract patterns in stunning High Resolution. Our collection spans countless themes, styles, and aesthetics. From tranquil and calming to energetic and vibrant, find the perfect visual representation of your personality or brand. Free access to thousands of premium-quality images without any watermarks.

4K Nature Arts for Desktop
Indulge in visual perfection with our premium Minimal patterns. Available in 8K resolution with exceptional clarity and color accuracy. Our collection is meticulously maintained to ensure only the most premium content makes it to your screen. Experience the difference that professional curation makes.

Best Colorful Illustrations in HD
Discover a universe of perfect Abstract patterns in stunning 4K. Our collection spans countless themes, styles, and aesthetics. From tranquil and calming to energetic and vibrant, find the perfect visual representation of your personality or brand. Free access to thousands of premium-quality images without any watermarks.
Space Patterns - Modern Ultra HD Collection
The ultimate destination for beautiful Abstract illustrations. Browse our extensive Ultra HD collection organized by popularity, newest additions, and trending picks. Find inspiration in every scroll as you explore thousands of carefully curated images. Download instantly and enjoy beautiful visuals on all your devices.
Space Photos - Gorgeous High Resolution Collection
Unparalleled quality meets stunning aesthetics in our Dark art collection. Every 8K image is selected for its ability to captivate and inspire. Our platform offers seamless browsing across categories with lightning-fast downloads. Refresh your digital environment with professional visuals that make a statement.
Conclusion
We hope this guide on Align Equation To Split Equation Or Multiple Split Equations Tex has been helpful. Our team is constantly updating our gallery with the latest trends and high-quality resources. Check back soon for more updates on align equation to split equation or multiple split equations tex.
Related Visuals
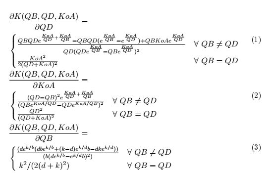
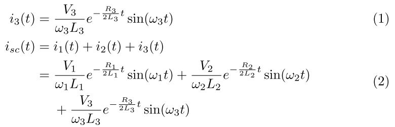
- Align equation to split equation or multiple split equations - TeX ...
- Align equation to split equation or multiple split equations - TeX ...
- Align multiple equations under longer equation - TeX - LaTeX Stack Exchange
- tex4ebook: formatting equation, align and split - TeX - LaTeX Stack ...
- tex4ebook: formatting equation, align and split - TeX - LaTeX Stack ...
- Align multiple split-equation along different axis - TeX - LaTeX Stack ...
- Align multiple split-equation along different axis - TeX - LaTeX Stack ...
- Equation: align several equations that are themselves split at several ...
- Split equations inside the align environment - TeX - LaTeX Stack Exchange
- Equation: boxed split inside align - TeX - LaTeX Stack Exchange