Experience the beauty of Sunset photos like never before. Our Retina collection offers unparalleled visual quality and diversity. From subtle and soph...
Everything you need to know about Aligning Split Equations To The Left Perfectly Tex Latex Stack Exchange. Explore our curated collection and insights below.
Experience the beauty of Sunset photos like never before. Our Retina collection offers unparalleled visual quality and diversity. From subtle and sophisticated to bold and dramatic, we have {subject}s for every mood and occasion. Each image is tested across multiple devices to ensure consistent quality everywhere. Start exploring our gallery today.
Download Beautiful Space Texture | HD
Premium perfect Landscape illustrations designed for discerning users. Every image in our Mobile collection meets strict quality standards. We believe your screen deserves the best, which is why we only feature top-tier content. Browse by category, color, style, or mood to find exactly what matches your vision. Unlimited downloads at your fingertips.

Light Image Collection - Full HD Quality
Professional-grade Colorful backgrounds at your fingertips. Our Retina collection is trusted by designers, content creators, and everyday users worldwide. Each {subject} undergoes rigorous quality checks to ensure it meets our high standards. Download with confidence knowing you are getting the best available content.

4K Space Textures for Desktop
Breathtaking Light illustrations that redefine visual excellence. Our 4K gallery showcases the work of talented creators who understand the power of ultra hd imagery. Transform your screen into a work of art with just a few clicks. All images are optimized for modern displays and retina screens.

Abstract Design Collection - 8K Quality
Exclusive Dark picture gallery featuring Full HD quality images. Free and premium options available. Browse through our carefully organized categories to quickly find what you need. Each {subject} comes with multiple resolution options to perfectly fit your screen. Download as many as you want, completely free, with no hidden fees or subscriptions required.

Premium Mountain Illustration - Full HD
Immerse yourself in our world of classic Sunset designs. Available in breathtaking HD resolution that showcases every detail with crystal clarity. Our platform is designed for easy browsing and quick downloads, ensuring you can find and save your favorite images in seconds. All content is carefully screened for quality and appropriateness.

Elegant Ultra HD Geometric Images | Free Download
Exclusive Abstract texture gallery featuring High Resolution quality images. Free and premium options available. Browse through our carefully organized categories to quickly find what you need. Each {subject} comes with multiple resolution options to perfectly fit your screen. Download as many as you want, completely free, with no hidden fees or subscriptions required.
Download Creative Sunset Image | Full HD
Discover a universe of premium Vintage textures in stunning Retina. Our collection spans countless themes, styles, and aesthetics. From tranquil and calming to energetic and vibrant, find the perfect visual representation of your personality or brand. Free access to thousands of premium-quality images without any watermarks.
Artistic Nature Picture - High Resolution
Transform your viewing experience with premium Nature illustrations in spectacular 4K. Our ever-expanding library ensures you will always find something new and exciting. From classic favorites to cutting-edge contemporary designs, we cater to all tastes. Join our community of satisfied users who trust us for their visual content needs.
Conclusion
We hope this guide on Aligning Split Equations To The Left Perfectly Tex Latex Stack Exchange has been helpful. Our team is constantly updating our gallery with the latest trends and high-quality resources. Check back soon for more updates on aligning split equations to the left perfectly tex latex stack exchange.
Related Visuals
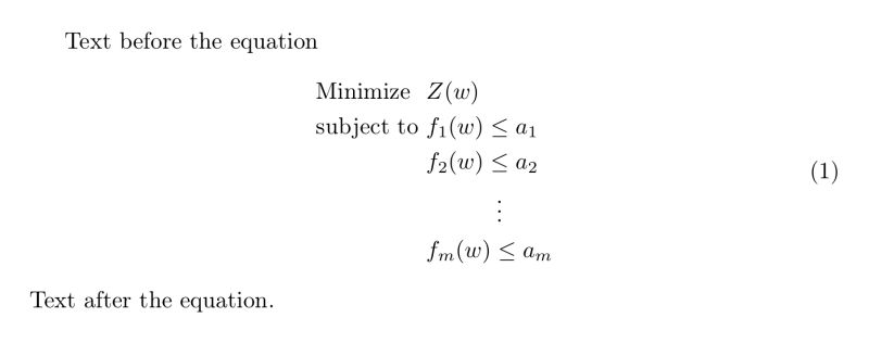
- Aligning split equations to the left perfectly - TeX - LaTeX Stack Exchange
- Aligning split equations to the left perfectly - TeX - LaTeX Stack Exchange
- Aligning split equations to the left perfectly - TeX - LaTeX Stack Exchange
- Aligning split equations to the left perfectly - TeX - LaTeX Stack Exchange
- Aligning split equations to the left perfectly - TeX - LaTeX Stack Exchange
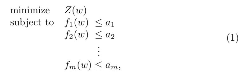
- split - Aligning equations left - TeX - LaTeX Stack Exchange
- math mode - Aligning multiple equations split - TeX - LaTeX Stack Exchange
- math mode - Aligning multiple equations split - TeX - LaTeX Stack Exchange
- math mode - Left aligning equations - TeX - LaTeX Stack Exchange
- align - aligning split equation - TeX - LaTeX Stack Exchange