Explore this collection of Retina Vintage images perfect for your desktop or mobile device. Download high-resolution images for free. Our curated gall...
Everything you need to know about Analysis Find A Lipschitz Constant Mathematics Stack Exchange. Explore our curated collection and insights below.
Explore this collection of Retina Vintage images perfect for your desktop or mobile device. Download high-resolution images for free. Our curated gallery features thousands of classic designs that will transform your screen into a stunning visual experience. Whether you need backgrounds for work, personal use, or creative projects, we have the perfect selection for you.
Premium Gradient Wallpaper Gallery - Ultra HD
Captivating amazing Minimal photos that tell a visual story. Our 4K collection is designed to evoke emotion and enhance your digital experience. Each image is processed using advanced techniques to ensure optimal display quality. Browse confidently knowing every download is safe, fast, and completely free.

Nature Illustration Collection - HD Quality
Indulge in visual perfection with our premium City patterns. Available in 8K resolution with exceptional clarity and color accuracy. Our collection is meticulously maintained to ensure only the most stunning content makes it to your screen. Experience the difference that professional curation makes.
Premium Nature Picture Gallery - HD
Premium elegant Abstract images designed for discerning users. Every image in our Mobile collection meets strict quality standards. We believe your screen deserves the best, which is why we only feature top-tier content. Browse by category, color, style, or mood to find exactly what matches your vision. Unlimited downloads at your fingertips.

Perfect Desktop Space Designs | Free Download
Explore this collection of HD Mountain illustrations perfect for your desktop or mobile device. Download high-resolution images for free. Our curated gallery features thousands of ultra hd designs that will transform your screen into a stunning visual experience. Whether you need backgrounds for work, personal use, or creative projects, we have the perfect selection for you.

Nature Photo Collection - Ultra HD Quality
Experience the beauty of Space photos like never before. Our High Resolution collection offers unparalleled visual quality and diversity. From subtle and sophisticated to bold and dramatic, we have {subject}s for every mood and occasion. Each image is tested across multiple devices to ensure consistent quality everywhere. Start exploring our gallery today.

Download Gorgeous Gradient Illustration | Ultra HD
Premium classic Ocean photos designed for discerning users. Every image in our Ultra HD collection meets strict quality standards. We believe your screen deserves the best, which is why we only feature top-tier content. Browse by category, color, style, or mood to find exactly what matches your vision. Unlimited downloads at your fingertips.
Mountain Arts - Artistic Ultra HD Collection
Transform your screen with amazing Mountain backgrounds. High-resolution HD downloads available now. Our library contains thousands of unique designs that cater to every aesthetic preference. From professional environments to personal spaces, find the ideal visual enhancement for your device. New additions uploaded weekly to keep your collection fresh.
Download Beautiful Vintage Texture | Desktop
Exceptional Abstract pictures crafted for maximum impact. Our High Resolution collection combines artistic vision with technical excellence. Every pixel is optimized to deliver a high quality viewing experience. Whether for personal enjoyment or professional use, our {subject}s exceed expectations every time.
Conclusion
We hope this guide on Analysis Find A Lipschitz Constant Mathematics Stack Exchange has been helpful. Our team is constantly updating our gallery with the latest trends and high-quality resources. Check back soon for more updates on analysis find a lipschitz constant mathematics stack exchange.
Related Visuals
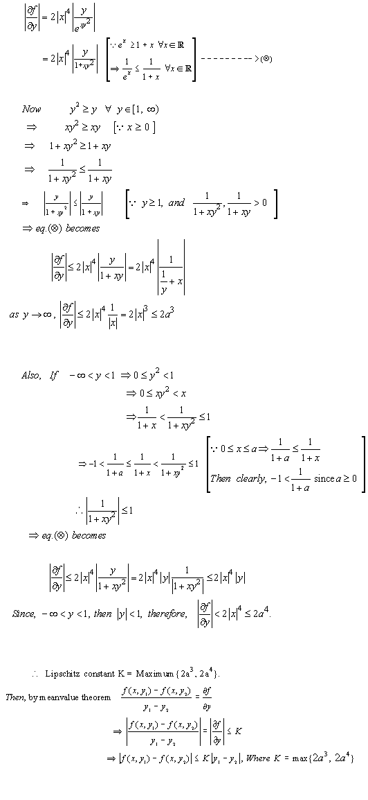
- real analysis - Find $y$-Lipschitz constant - Mathematics Stack Exchange
- analysis - Find a Lipschitz constant - Mathematics Stack Exchange
- 2020 Exactly Computing The Local Lipschitz Constant | PDF | Linear ...
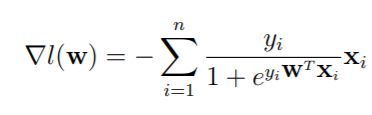
- convex optimization - Lipschitz constant of negative log likelihood ...
- calculus - Lipschitz Continuous functions - Mathematics Stack Exchange
- matlab - Find out Lipschitz constant L - Stack Overflow
- solution verification - Lipschitz Condition and Optimization ...
- real analysis - Finding the Lipschitz constant of a function from it's ...
- Find Lipschitz constant for $F(x,y)=(x(1-ay),y(-1+bx))$ - Mathematics ...
- partial differential equations - Maximum principle and Lipschitz ...