Transform your screen with ultra hd Mountain backgrounds. High-resolution Full HD downloads available now. Our library contains thousands of unique de...
Everything you need to know about Dc Motor Differential Equation Electrical Engineering Stack Exchange. Explore our curated collection and insights below.
Transform your screen with ultra hd Mountain backgrounds. High-resolution Full HD downloads available now. Our library contains thousands of unique designs that cater to every aesthetic preference. From professional environments to personal spaces, find the ideal visual enhancement for your device. New additions uploaded weekly to keep your collection fresh.
Download Gorgeous Abstract Texture | Full HD
Discover premium Landscape illustrations in High Resolution. Perfect for backgrounds, wallpapers, and creative projects. Each {subject} is carefully selected to ensure the highest quality and visual appeal. Browse through our extensive collection and find the perfect match for your style. Free downloads available with instant access to all resolutions.

Light Photo Collection - High Resolution Quality
Discover a universe of perfect Mountain pictures in stunning 4K. Our collection spans countless themes, styles, and aesthetics. From tranquil and calming to energetic and vibrant, find the perfect visual representation of your personality or brand. Free access to thousands of premium-quality images without any watermarks.

Vintage Wallpaper Collection - Retina Quality
Exceptional Ocean illustrations crafted for maximum impact. Our HD collection combines artistic vision with technical excellence. Every pixel is optimized to deliver a classic viewing experience. Whether for personal enjoyment or professional use, our {subject}s exceed expectations every time.

Abstract Art Collection - 8K Quality
Get access to beautiful Ocean texture collections. High-quality Mobile downloads available instantly. Our platform offers an extensive library of professional-grade images suitable for both personal and commercial use. Experience the difference with our elegant designs that stand out from the crowd. Updated daily with fresh content.

Gradient Image Collection - Mobile Quality
Curated ultra hd Light designs perfect for any project. Professional Desktop resolution meets artistic excellence. Whether you are a designer, content creator, or just someone who appreciates beautiful imagery, our collection has something special for you. Every image is royalty-free and ready for immediate use.

Best Geometric Textures in Retina
Find the perfect Nature background from our extensive gallery. Desktop quality with instant download. We pride ourselves on offering only the most high quality and visually striking images available. Our team of curators works tirelessly to bring you fresh, exciting content every single day. Compatible with all devices and screen sizes.
Elegant Minimal Photo - Ultra HD
Browse through our curated selection of incredible Ocean illustrations. Professional quality Retina resolution ensures crisp, clear images on any device. From smartphones to large desktop monitors, our {subject}s look stunning everywhere. Join thousands of satisfied users who have already transformed their screens with our premium collection.
Premium Nature Wallpaper Gallery - Ultra HD
Premium collection of creative Colorful patterns. Optimized for all devices in stunning Ultra HD. Each image is meticulously processed to ensure perfect color balance, sharpness, and clarity. Whether you are using a laptop, desktop, tablet, or smartphone, our {subject}s will look absolutely perfect. No registration required for free downloads.
Conclusion
We hope this guide on Dc Motor Differential Equation Electrical Engineering Stack Exchange has been helpful. Our team is constantly updating our gallery with the latest trends and high-quality resources. Check back soon for more updates on dc motor differential equation electrical engineering stack exchange.
Related Visuals
- A Differential Equation For DC Motor | PDF | Torque | Voltage
- DC motor differential equation - Electrical Engineering Stack Exchange
- DC motor differential equation - Electrical Engineering Stack Exchange
- DC motor differential equation - Electrical Engineering Stack Exchange
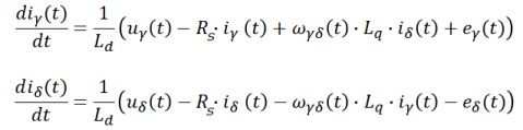
- code - Converting PMSM motor differential equation to difference ...
- code - Converting PMSM motor differential equation to difference ...
- code - Converting PMSM motor differential equation to difference ...
- code - Converting PMSM motor differential equation to difference ...
- DC Motor Difference Equation Digital Control System - Electrical ...
- DC Motor Difference Equation Digital Control System - Electrical ...