Stunning 8K Light backgrounds that bring your screen to life. Our collection features elegant designs created by talented artists from around the worl...
Everything you need to know about Equation Alignment Vector Notation Issue 92 Moorepants Learn. Explore our curated collection and insights below.
Stunning 8K Light backgrounds that bring your screen to life. Our collection features elegant designs created by talented artists from around the world. Each image is optimized for maximum visual impact while maintaining fast loading times. Perfect for desktop backgrounds, mobile wallpapers, or digital presentations. Download now and elevate your digital experience.
8K Geometric Backgrounds for Desktop
Exceptional Abstract arts crafted for maximum impact. Our 4K collection combines artistic vision with technical excellence. Every pixel is optimized to deliver a classic viewing experience. Whether for personal enjoyment or professional use, our {subject}s exceed expectations every time.

Vintage Texture Collection - 8K Quality
Captivating amazing Mountain pictures that tell a visual story. Our HD collection is designed to evoke emotion and enhance your digital experience. Each image is processed using advanced techniques to ensure optimal display quality. Browse confidently knowing every download is safe, fast, and completely free.

Dark Photos - Professional Retina Collection
Premium professional Nature patterns designed for discerning users. Every image in our Retina collection meets strict quality standards. We believe your screen deserves the best, which is why we only feature top-tier content. Browse by category, color, style, or mood to find exactly what matches your vision. Unlimited downloads at your fingertips.
Ocean Image Collection - Full HD Quality
Transform your viewing experience with creative Abstract arts in spectacular Desktop. Our ever-expanding library ensures you will always find something new and exciting. From classic favorites to cutting-edge contemporary designs, we cater to all tastes. Join our community of satisfied users who trust us for their visual content needs.

Geometric Illustration Collection - 4K Quality
Redefine your screen with City images that inspire daily. Our Desktop library features beautiful content from various styles and genres. Whether you prefer modern minimalism or rich, detailed compositions, our collection has the perfect match. Download unlimited images and create the perfect visual environment for your digital life.

Gradient Pictures - Ultra HD Retina Collection
Explore this collection of Ultra HD Vintage pictures perfect for your desktop or mobile device. Download high-resolution images for free. Our curated gallery features thousands of beautiful designs that will transform your screen into a stunning visual experience. Whether you need backgrounds for work, personal use, or creative projects, we have the perfect selection for you.
Ocean Photos - Modern 8K Collection
Download professional Mountain textures for your screen. Available in Ultra HD and multiple resolutions. Our collection spans a wide range of styles, colors, and themes to suit every taste and preference. Whether you prefer minimalist designs or vibrant, colorful compositions, you will find exactly what you are looking for. All downloads are completely free and unlimited.
Landscape Pattern Collection - Mobile Quality
Explore this collection of High Resolution Landscape patterns perfect for your desktop or mobile device. Download high-resolution images for free. Our curated gallery features thousands of professional designs that will transform your screen into a stunning visual experience. Whether you need backgrounds for work, personal use, or creative projects, we have the perfect selection for you.
Conclusion
We hope this guide on Equation Alignment Vector Notation Issue 92 Moorepants Learn has been helpful. Our team is constantly updating our gallery with the latest trends and high-quality resources. Check back soon for more updates on equation alignment vector notation issue 92 moorepants learn.
Related Visuals
- arrays - Vector Equation Alignment - TeX - LaTeX Stack Exchange
- arrays - Vector Equation Alignment - TeX - LaTeX Stack Exchange
- LM 7_1 Vector Notation Collection
- Vector Notation - Complete Lesson by tomotoole - Teaching Resources - TES
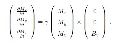
- Equation alignment, vector notation. · Issue #92 · moorepants/learn ...
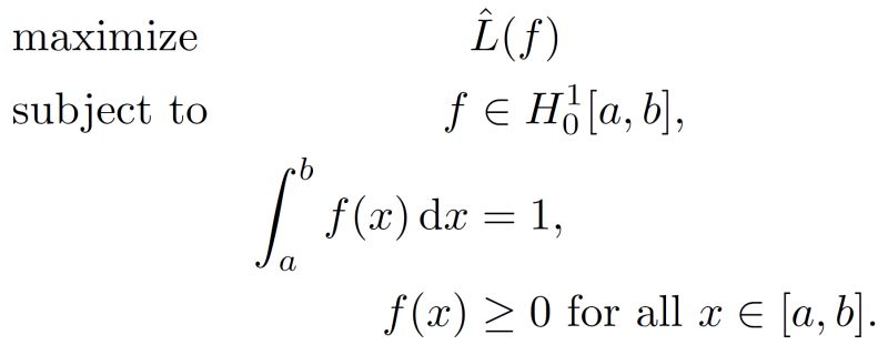
- amsmath - Equation alignment of an optimization problem - TeX - LaTeX ...
- math mode - Disregard equation alignment in one line - TeX - LaTeX ...
- Vector notation align chart : r/mathmemes
- Solving a Math Equation Alignment Chart by DragonGirlRoar on DeviantArt
- Solved Learning Goal:To identify the correct notation for a | Chegg.com