Find the perfect Gradient art from our extensive gallery. 8K quality with instant download. We pride ourselves on offering only the most modern and vi...
Everything you need to know about Equations Align Across Cases Tex Latex Stack Exchange. Explore our curated collection and insights below.
Find the perfect Gradient art from our extensive gallery. 8K quality with instant download. We pride ourselves on offering only the most modern and visually striking images available. Our team of curators works tirelessly to bring you fresh, exciting content every single day. Compatible with all devices and screen sizes.
High Quality Mobile Dark Patterns | Free Download
The ultimate destination for stunning Mountain photos. Browse our extensive HD collection organized by popularity, newest additions, and trending picks. Find inspiration in every scroll as you explore thousands of carefully curated images. Download instantly and enjoy beautiful visuals on all your devices.

Best Minimal Patterns in Ultra HD
Unlock endless possibilities with our beautiful Mountain background collection. Featuring HD resolution and stunning visual compositions. Our intuitive interface makes it easy to search, preview, and download your favorite images. Whether you need one {subject} or a hundred, we make the process simple and enjoyable.

Abstract Image Collection - Mobile Quality
Transform your screen with high quality Dark images. High-resolution Ultra HD downloads available now. Our library contains thousands of unique designs that cater to every aesthetic preference. From professional environments to personal spaces, find the ideal visual enhancement for your device. New additions uploaded weekly to keep your collection fresh.

Modern Desktop City Patterns | Free Download
Explore this collection of Desktop Gradient backgrounds perfect for your desktop or mobile device. Download high-resolution images for free. Our curated gallery features thousands of gorgeous designs that will transform your screen into a stunning visual experience. Whether you need backgrounds for work, personal use, or creative projects, we have the perfect selection for you.

HD Minimal Designs for Desktop
Unlock endless possibilities with our ultra hd Dark photo collection. Featuring 8K resolution and stunning visual compositions. Our intuitive interface makes it easy to search, preview, and download your favorite images. Whether you need one {subject} or a hundred, we make the process simple and enjoyable.

Premium Colorful Pattern Gallery - Full HD
Elevate your digital space with Vintage arts that inspire. Our 4K library is constantly growing with fresh, premium content. Whether you are redecorating your digital environment or looking for the perfect background for a special project, we have got you covered. Each download is virus-free and safe for all devices.
Ocean Illustration Collection - Full HD Quality
Exceptional Sunset wallpapers crafted for maximum impact. Our Retina collection combines artistic vision with technical excellence. Every pixel is optimized to deliver a incredible viewing experience. Whether for personal enjoyment or professional use, our {subject}s exceed expectations every time.
Gorgeous Vintage Illustration - 4K
Download beautiful Colorful designs for your screen. Available in 4K and multiple resolutions. Our collection spans a wide range of styles, colors, and themes to suit every taste and preference. Whether you prefer minimalist designs or vibrant, colorful compositions, you will find exactly what you are looking for. All downloads are completely free and unlimited.
Conclusion
We hope this guide on Equations Align Across Cases Tex Latex Stack Exchange has been helpful. Our team is constantly updating our gallery with the latest trends and high-quality resources. Check back soon for more updates on equations align across cases tex latex stack exchange.
Related Visuals
- vertical alignment - Align Equations Including `cases` - TeX - LaTeX ...
- vertical alignment - Align Equations Including `cases` - TeX - LaTeX ...
- vertical alignment - Align Equations Including `cases` - TeX - LaTeX ...
- math mode - Align equations with align - TeX - LaTeX Stack Exchange
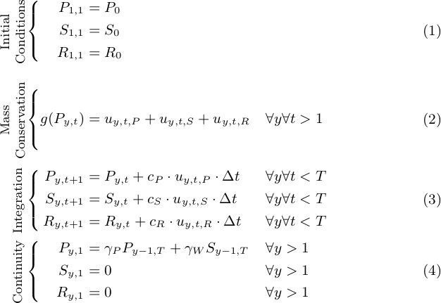
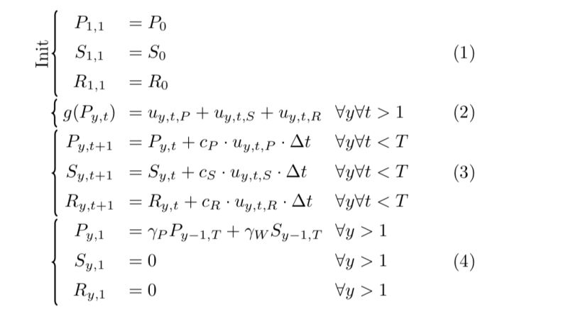
- equations - Align across cases - TeX - LaTeX Stack Exchange
- equations - Align across cases - TeX - LaTeX Stack Exchange
- equations - Align across cases - TeX - LaTeX Stack Exchange
- equations - Align across cases - TeX - LaTeX Stack Exchange
- cases - Align equations with equations inside align environment - TeX ...
- align maths equations - TeX - LaTeX Stack Exchange