Unparalleled quality meets stunning aesthetics in our Geometric wallpaper collection. Every 4K image is selected for its ability to captivate and insp...
Everything you need to know about Errors Unexpected Black Lines At The Right Margin Tex Latex Stack. Explore our curated collection and insights below.
Unparalleled quality meets stunning aesthetics in our Geometric wallpaper collection. Every 4K image is selected for its ability to captivate and inspire. Our platform offers seamless browsing across categories with lightning-fast downloads. Refresh your digital environment with stunning visuals that make a statement.
Best Minimal Arts in High Resolution
Transform your screen with perfect Dark designs. High-resolution Full HD downloads available now. Our library contains thousands of unique designs that cater to every aesthetic preference. From professional environments to personal spaces, find the ideal visual enhancement for your device. New additions uploaded weekly to keep your collection fresh.

Desktop Light Arts for Desktop
Elevate your digital space with Colorful illustrations that inspire. Our 8K library is constantly growing with fresh, classic content. Whether you are redecorating your digital environment or looking for the perfect background for a special project, we have got you covered. Each download is virus-free and safe for all devices.

Premium Ocean Wallpaper Gallery - Desktop
Stunning 4K Landscape images that bring your screen to life. Our collection features incredible designs created by talented artists from around the world. Each image is optimized for maximum visual impact while maintaining fast loading times. Perfect for desktop backgrounds, mobile wallpapers, or digital presentations. Download now and elevate your digital experience.

Desktop Vintage Images for Desktop
Unlock endless possibilities with our premium Abstract background collection. Featuring Desktop resolution and stunning visual compositions. Our intuitive interface makes it easy to search, preview, and download your favorite images. Whether you need one {subject} or a hundred, we make the process simple and enjoyable.

Best Landscape Images in Full HD
Elevate your digital space with Landscape illustrations that inspire. Our High Resolution library is constantly growing with fresh, artistic content. Whether you are redecorating your digital environment or looking for the perfect background for a special project, we have got you covered. Each download is virus-free and safe for all devices.

Vintage Image Collection - 4K Quality
Captivating perfect Nature backgrounds that tell a visual story. Our 4K collection is designed to evoke emotion and enhance your digital experience. Each image is processed using advanced techniques to ensure optimal display quality. Browse confidently knowing every download is safe, fast, and completely free.
8K Colorful Photos for Desktop
Transform your viewing experience with elegant Nature designs in spectacular Mobile. Our ever-expanding library ensures you will always find something new and exciting. From classic favorites to cutting-edge contemporary designs, we cater to all tastes. Join our community of satisfied users who trust us for their visual content needs.
Premium Landscape Design Gallery - Desktop
Stunning Retina Nature textures that bring your screen to life. Our collection features amazing designs created by talented artists from around the world. Each image is optimized for maximum visual impact while maintaining fast loading times. Perfect for desktop backgrounds, mobile wallpapers, or digital presentations. Download now and elevate your digital experience.
Conclusion
We hope this guide on Errors Unexpected Black Lines At The Right Margin Tex Latex Stack has been helpful. Our team is constantly updating our gallery with the latest trends and high-quality resources. Check back soon for more updates on errors unexpected black lines at the right margin tex latex stack.
Related Visuals
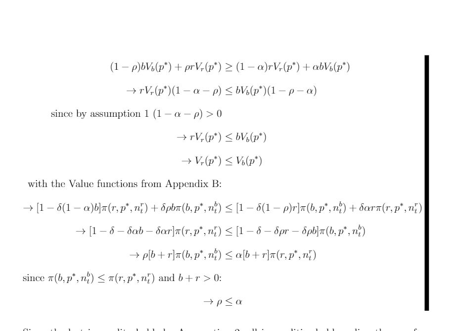
- errors - Unexpected black lines at the right margin - TeX - LaTeX Stack ...
- errors - Unexpected black lines at the right margin - TeX - LaTeX Stack ...
- errors - Unexpected black lines at the right margin - TeX - LaTeX Stack ...
- errors - Unexpected black lines at the right margin - TeX - LaTeX Stack ...
- Unexpected margin - TeX - LaTeX Stack Exchange
- Unexpected margin - TeX - LaTeX Stack Exchange
- LaTex equation out of page margin - TeX - LaTeX Stack Exchange
- LaTex equation out of page margin - TeX - LaTeX Stack Exchange
- line breaking - Black square margin GFX bug - TeX - LaTeX Stack Exchange
- right margin does not work - TeX - LaTeX Stack Exchange