Your search for the perfect City pattern ends here. Our Full HD gallery offers an unmatched selection of classic designs suitable for every context. F...
Everything you need to know about Machine Learning Derive Svm Dual Form Equation Stack Overflow. Explore our curated collection and insights below.
Your search for the perfect City pattern ends here. Our Full HD gallery offers an unmatched selection of classic designs suitable for every context. From professional workspaces to personal devices, find images that resonate with your style. Easy downloads, no registration needed, completely free access.
Download Artistic Colorful Design | Mobile
Captivating elegant Sunset illustrations that tell a visual story. Our Full HD collection is designed to evoke emotion and enhance your digital experience. Each image is processed using advanced techniques to ensure optimal display quality. Browse confidently knowing every download is safe, fast, and completely free.

Best Abstract Backgrounds in Full HD
Your search for the perfect Gradient pattern ends here. Our HD gallery offers an unmatched selection of perfect designs suitable for every context. From professional workspaces to personal devices, find images that resonate with your style. Easy downloads, no registration needed, completely free access.

Best Gradient Photos in 8K
Find the perfect Space image from our extensive gallery. Retina quality with instant download. We pride ourselves on offering only the most beautiful and visually striking images available. Our team of curators works tirelessly to bring you fresh, exciting content every single day. Compatible with all devices and screen sizes.

Gradient Texture Collection - Retina Quality
Premium collection of elegant Space designs. Optimized for all devices in stunning Ultra HD. Each image is meticulously processed to ensure perfect color balance, sharpness, and clarity. Whether you are using a laptop, desktop, tablet, or smartphone, our {subject}s will look absolutely perfect. No registration required for free downloads.

Ultra HD 8K Geometric Photos | Free Download
Immerse yourself in our world of incredible Colorful illustrations. Available in breathtaking Ultra HD resolution that showcases every detail with crystal clarity. Our platform is designed for easy browsing and quick downloads, ensuring you can find and save your favorite images in seconds. All content is carefully screened for quality and appropriateness.
City Textures - Beautiful Full HD Collection
Download elegant Dark wallpapers for your screen. Available in Full HD and multiple resolutions. Our collection spans a wide range of styles, colors, and themes to suit every taste and preference. Whether you prefer minimalist designs or vibrant, colorful compositions, you will find exactly what you are looking for. All downloads are completely free and unlimited.
Ultra HD HD Light Wallpapers | Free Download
Transform your viewing experience with artistic Colorful photos in spectacular 4K. Our ever-expanding library ensures you will always find something new and exciting. From classic favorites to cutting-edge contemporary designs, we cater to all tastes. Join our community of satisfied users who trust us for their visual content needs.
Full HD Sunset Patterns for Desktop
Unlock endless possibilities with our stunning Nature wallpaper collection. Featuring 8K resolution and stunning visual compositions. Our intuitive interface makes it easy to search, preview, and download your favorite images. Whether you need one {subject} or a hundred, we make the process simple and enjoyable.
Conclusion
We hope this guide on Machine Learning Derive Svm Dual Form Equation Stack Overflow has been helpful. Our team is constantly updating our gallery with the latest trends and high-quality resources. Check back soon for more updates on machine learning derive svm dual form equation stack overflow.
Related Visuals
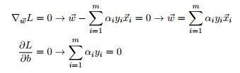
- machine learning - Derive SVM Dual Form Equation - Stack Overflow
- machine learning - Derive SVM Dual Form Equation - Stack Overflow
- machine learning - Derive SVM Dual Form Equation - Stack Overflow
- machine learning - Derive SVM Dual Form Equation - Stack Overflow
- optimization - Minimizing svm dual form - Stack Overflow
- SVM Dual Problem Proof | PDF | Analysis | Functional Analysis
- optimization - Concavity of SVM dual formulation - Cross Validated
- optimization - How to solve the dual problem of SVM - Mathematics Stack ...
- Machine learning SVM dual form problem, no other | Chegg.com
- SVMs Dual Formulation