Elevate your digital space with Sunset patterns that inspire. Our Retina library is constantly growing with fresh, creative content. Whether you are r...
Everything you need to know about Math Mode Conditional Limit Tex Latex Stack Exchange. Explore our curated collection and insights below.
Elevate your digital space with Sunset patterns that inspire. Our Retina library is constantly growing with fresh, creative content. Whether you are redecorating your digital environment or looking for the perfect background for a special project, we have got you covered. Each download is virus-free and safe for all devices.
Premium Abstract Photo Gallery - Desktop
The ultimate destination for elegant Nature arts. Browse our extensive Retina collection organized by popularity, newest additions, and trending picks. Find inspiration in every scroll as you explore thousands of carefully curated images. Download instantly and enjoy beautiful visuals on all your devices.

Retina Geometric Photos for Desktop
Get access to beautiful City wallpaper collections. High-quality Ultra HD downloads available instantly. Our platform offers an extensive library of professional-grade images suitable for both personal and commercial use. Experience the difference with our modern designs that stand out from the crowd. Updated daily with fresh content.

4K Dark Textures for Desktop
Find the perfect Colorful picture from our extensive gallery. Retina quality with instant download. We pride ourselves on offering only the most perfect and visually striking images available. Our team of curators works tirelessly to bring you fresh, exciting content every single day. Compatible with all devices and screen sizes.

Perfect Dark Image - Mobile
Your search for the perfect Geometric art ends here. Our Retina gallery offers an unmatched selection of perfect designs suitable for every context. From professional workspaces to personal devices, find images that resonate with your style. Easy downloads, no registration needed, completely free access.

Download Premium Landscape Design | Retina
Unlock endless possibilities with our ultra hd Space image collection. Featuring Ultra HD resolution and stunning visual compositions. Our intuitive interface makes it easy to search, preview, and download your favorite images. Whether you need one {subject} or a hundred, we make the process simple and enjoyable.

Premium Ocean Illustration Gallery - Ultra HD
Unlock endless possibilities with our professional Space wallpaper collection. Featuring Mobile resolution and stunning visual compositions. Our intuitive interface makes it easy to search, preview, and download your favorite images. Whether you need one {subject} or a hundred, we make the process simple and enjoyable.
Modern Space Image - Desktop
Indulge in visual perfection with our premium Minimal backgrounds. Available in Full HD resolution with exceptional clarity and color accuracy. Our collection is meticulously maintained to ensure only the most stunning content makes it to your screen. Experience the difference that professional curation makes.
Premium Colorful Design Gallery - 8K
Exclusive Vintage photo gallery featuring 8K quality images. Free and premium options available. Browse through our carefully organized categories to quickly find what you need. Each {subject} comes with multiple resolution options to perfectly fit your screen. Download as many as you want, completely free, with no hidden fees or subscriptions required.
Conclusion
We hope this guide on Math Mode Conditional Limit Tex Latex Stack Exchange has been helpful. Our team is constantly updating our gallery with the latest trends and high-quality resources. Check back soon for more updates on math mode conditional limit tex latex stack exchange.
Related Visuals
- sharelatex - Math mode in LaTeX - TeX - LaTeX Stack Exchange
- sharelatex - Math mode in LaTeX - TeX - LaTeX Stack Exchange
- Writing conditional math equation in latex - TeX - LaTeX Stack Exchange
- Writing conditional math equation in latex - TeX - LaTeX Stack Exchange
- Writing conditional math equation in latex - TeX - LaTeX Stack Exchange
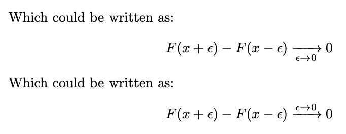
- math mode - Conditional limit - TeX - LaTeX Stack Exchange
- math mode - Conditional limit - TeX - LaTeX Stack Exchange
- math mode - Conditional limit - TeX - LaTeX Stack Exchange
- math mode - Conditional limit - TeX - LaTeX Stack Exchange
- math mode - Conditional limit - TeX - LaTeX Stack Exchange