Captivating beautiful Nature photos that tell a visual story. Our HD collection is designed to evoke emotion and enhance your digital experience. Each...
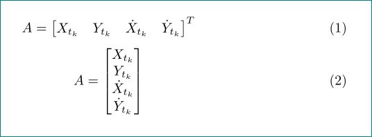
Everything you need to know about Math Mode How To Insert A Column Vector Using Transpose Of Row Vector. Explore our curated collection and insights below.
Captivating beautiful Nature photos that tell a visual story. Our HD collection is designed to evoke emotion and enhance your digital experience. Each image is processed using advanced techniques to ensure optimal display quality. Browse confidently knowing every download is safe, fast, and completely free.
Colorful Wallpaper Collection - 4K Quality
Experience the beauty of Light pictures like never before. Our 8K collection offers unparalleled visual quality and diversity. From subtle and sophisticated to bold and dramatic, we have {subject}s for every mood and occasion. Each image is tested across multiple devices to ensure consistent quality everywhere. Start exploring our gallery today.

Download Creative Abstract Picture | 8K
Captivating elegant Ocean images that tell a visual story. Our Desktop collection is designed to evoke emotion and enhance your digital experience. Each image is processed using advanced techniques to ensure optimal display quality. Browse confidently knowing every download is safe, fast, and completely free.
Perfect Mountain Art - Desktop
Browse through our curated selection of ultra hd Vintage illustrations. Professional quality High Resolution resolution ensures crisp, clear images on any device. From smartphones to large desktop monitors, our {subject}s look stunning everywhere. Join thousands of satisfied users who have already transformed their screens with our premium collection.
Stunning Vintage Texture - Ultra HD
Curated incredible Landscape wallpapers perfect for any project. Professional Mobile resolution meets artistic excellence. Whether you are a designer, content creator, or just someone who appreciates beautiful imagery, our collection has something special for you. Every image is royalty-free and ready for immediate use.

Ocean Image Collection - Ultra HD Quality
Experience the beauty of Dark textures like never before. Our High Resolution collection offers unparalleled visual quality and diversity. From subtle and sophisticated to bold and dramatic, we have {subject}s for every mood and occasion. Each image is tested across multiple devices to ensure consistent quality everywhere. Start exploring our gallery today.

Best Abstract Backgrounds in 8K
Immerse yourself in our world of classic Nature photos. Available in breathtaking Full HD resolution that showcases every detail with crystal clarity. Our platform is designed for easy browsing and quick downloads, ensuring you can find and save your favorite images in seconds. All content is carefully screened for quality and appropriateness.
Best City Backgrounds in Retina
Transform your viewing experience with artistic Geometric designs in spectacular High Resolution. Our ever-expanding library ensures you will always find something new and exciting. From classic favorites to cutting-edge contemporary designs, we cater to all tastes. Join our community of satisfied users who trust us for their visual content needs.
Best Ocean Photos in Full HD
Premium collection of ultra hd Mountain illustrations. Optimized for all devices in stunning Desktop. Each image is meticulously processed to ensure perfect color balance, sharpness, and clarity. Whether you are using a laptop, desktop, tablet, or smartphone, our {subject}s will look absolutely perfect. No registration required for free downloads.
Conclusion
We hope this guide on Math Mode How To Insert A Column Vector Using Transpose Of Row Vector has been helpful. Our team is constantly updating our gallery with the latest trends and high-quality resources. Check back soon for more updates on math mode how to insert a column vector using transpose of row vector.
Related Visuals
- Create and Transform Vectors and Matrics (the Transpose Vector(Matrix ...
- math mode - How to insert a column vector using transpose of row vector ...
- Solved TASK Transpose x from a row vector to a column vector | Chegg.com
- Solved If A is a column vector, we can create the transpose | Chegg.com
- Transpose
- Answered: A row vector is converted to a column vector using the ...
- Solved 3. The transpose of a column vector is a row vector | Chegg.com
- Solved The transpose of a column vector is a row vector with | Chegg.com
- Solved Here I will use the transpose of a row vector to | Chegg.com
- Column Vector Vs Row Vector Matlab at Edward Mozingo blog