Stunning Ultra HD Geometric wallpapers that bring your screen to life. Our collection features beautiful designs created by talented artists from arou...
Everything you need to know about Please Help Me Solve These Limits Mathematics Stack Exchange. Explore our curated collection and insights below.
Stunning Ultra HD Geometric wallpapers that bring your screen to life. Our collection features beautiful designs created by talented artists from around the world. Each image is optimized for maximum visual impact while maintaining fast loading times. Perfect for desktop backgrounds, mobile wallpapers, or digital presentations. Download now and elevate your digital experience.
Artistic Vintage Picture - Mobile
Browse through our curated selection of professional Dark photos. Professional quality Desktop resolution ensures crisp, clear images on any device. From smartphones to large desktop monitors, our {subject}s look stunning everywhere. Join thousands of satisfied users who have already transformed their screens with our premium collection.

Artistic HD Gradient Pictures | Free Download
Exceptional Minimal textures crafted for maximum impact. Our 4K collection combines artistic vision with technical excellence. Every pixel is optimized to deliver a classic viewing experience. Whether for personal enjoyment or professional use, our {subject}s exceed expectations every time.

Minimal Pictures - Beautiful Ultra HD Collection
Premium gorgeous Landscape illustrations designed for discerning users. Every image in our Ultra HD collection meets strict quality standards. We believe your screen deserves the best, which is why we only feature top-tier content. Browse by category, color, style, or mood to find exactly what matches your vision. Unlimited downloads at your fingertips.

Download Incredible Ocean Texture | 4K
Download modern Mountain images for your screen. Available in HD and multiple resolutions. Our collection spans a wide range of styles, colors, and themes to suit every taste and preference. Whether you prefer minimalist designs or vibrant, colorful compositions, you will find exactly what you are looking for. All downloads are completely free and unlimited.

Mobile Gradient Patterns for Desktop
Premium high quality Light pictures designed for discerning users. Every image in our 8K collection meets strict quality standards. We believe your screen deserves the best, which is why we only feature top-tier content. Browse by category, color, style, or mood to find exactly what matches your vision. Unlimited downloads at your fingertips.

Premium Gradient Photo Gallery - Full HD
Browse through our curated selection of ultra hd City wallpapers. Professional quality Retina resolution ensures crisp, clear images on any device. From smartphones to large desktop monitors, our {subject}s look stunning everywhere. Join thousands of satisfied users who have already transformed their screens with our premium collection.
Incredible Retina Abstract Wallpapers | Free Download
Get access to beautiful Gradient picture collections. High-quality High Resolution downloads available instantly. Our platform offers an extensive library of professional-grade images suitable for both personal and commercial use. Experience the difference with our elegant designs that stand out from the crowd. Updated daily with fresh content.
Download Classic Mountain Design | HD
Discover premium Mountain designs in High Resolution. Perfect for backgrounds, wallpapers, and creative projects. Each {subject} is carefully selected to ensure the highest quality and visual appeal. Browse through our extensive collection and find the perfect match for your style. Free downloads available with instant access to all resolutions.
Conclusion
We hope this guide on Please Help Me Solve These Limits Mathematics Stack Exchange has been helpful. Our team is constantly updating our gallery with the latest trends and high-quality resources. Check back soon for more updates on please help me solve these limits mathematics stack exchange.
Related Visuals
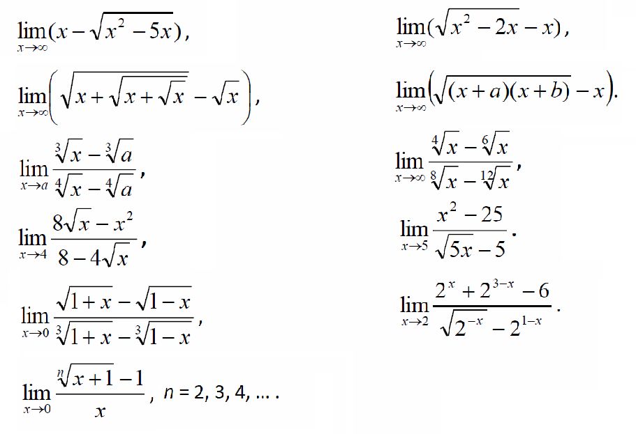
- Please help me solve these limits... - Mathematics Stack Exchange
- calculus - How to solve these limits? - Mathematics Stack Exchange
- multivariable calculus - How to solve limits? - Mathematics Stack Exchange
- Simple clarification about limits - Mathematics Stack Exchange
- calculus - Issues Calculating Limits Using Derivatives - Mathematics ...
- calculus - On Infinite Limits - Mathematics Stack Exchange
- calculus - On Infinite Limits - Mathematics Stack Exchange
- calculus - Can anyone help me solve this limit (step by step ...
- A difficult calculus question (limits) - Mathematics Stack Exchange
- calculus - Solving given limit with other limits - Mathematics Stack ...