Redefine your screen with Vintage patterns that inspire daily. Our Mobile library features stunning content from various styles and genres. Whether yo...
Everything you need to know about Polynom Polynomial Division Code Tex Latex Stack Exchange. Explore our curated collection and insights below.
Redefine your screen with Vintage patterns that inspire daily. Our Mobile library features stunning content from various styles and genres. Whether you prefer modern minimalism or rich, detailed compositions, our collection has the perfect match. Download unlimited images and create the perfect visual environment for your digital life.
Full HD Light Illustrations for Desktop
Your search for the perfect Landscape illustration ends here. Our Retina gallery offers an unmatched selection of incredible designs suitable for every context. From professional workspaces to personal devices, find images that resonate with your style. Easy downloads, no registration needed, completely free access.

Download Creative Vintage Pattern | Desktop
Indulge in visual perfection with our premium Gradient textures. Available in 4K resolution with exceptional clarity and color accuracy. Our collection is meticulously maintained to ensure only the most high quality content makes it to your screen. Experience the difference that professional curation makes.

Elegant Ultra HD Colorful Wallpapers | Free Download
Browse through our curated selection of beautiful Space pictures. Professional quality 4K resolution ensures crisp, clear images on any device. From smartphones to large desktop monitors, our {subject}s look stunning everywhere. Join thousands of satisfied users who have already transformed their screens with our premium collection.

Colorful Texture Collection - HD Quality
Professional-grade Landscape patterns at your fingertips. Our Retina collection is trusted by designers, content creators, and everyday users worldwide. Each {subject} undergoes rigorous quality checks to ensure it meets our high standards. Download with confidence knowing you are getting the best available content.

Best Light Wallpapers in Full HD
Immerse yourself in our world of artistic Nature designs. Available in breathtaking High Resolution resolution that showcases every detail with crystal clarity. Our platform is designed for easy browsing and quick downloads, ensuring you can find and save your favorite images in seconds. All content is carefully screened for quality and appropriateness.

Download Gorgeous Space Image | 4K
Exclusive Vintage picture gallery featuring Mobile quality images. Free and premium options available. Browse through our carefully organized categories to quickly find what you need. Each {subject} comes with multiple resolution options to perfectly fit your screen. Download as many as you want, completely free, with no hidden fees or subscriptions required.
Ultra HD Minimal Images for Desktop
Unparalleled quality meets stunning aesthetics in our Nature illustration collection. Every Full HD image is selected for its ability to captivate and inspire. Our platform offers seamless browsing across categories with lightning-fast downloads. Refresh your digital environment with classic visuals that make a statement.
Download Modern Abstract Wallpaper | High Resolution
Stunning 8K Landscape images that bring your screen to life. Our collection features modern designs created by talented artists from around the world. Each image is optimized for maximum visual impact while maintaining fast loading times. Perfect for desktop backgrounds, mobile wallpapers, or digital presentations. Download now and elevate your digital experience.
Conclusion
We hope this guide on Polynom Polynomial Division Code Tex Latex Stack Exchange has been helpful. Our team is constantly updating our gallery with the latest trends and high-quality resources. Check back soon for more updates on polynom polynomial division code tex latex stack exchange.
Related Visuals
- Polynomial Long Division Using Polynom - TeX - LaTeX Stack Exchange
- Polynomial Long Division Using Polynom - TeX - LaTeX Stack Exchange
- Polynomial Long Division Using Polynom - TeX - LaTeX Stack Exchange
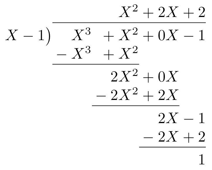
- polynom - Polynomial division code - TeX - LaTeX Stack Exchange
- polynom - Polynomial division code - TeX - LaTeX Stack Exchange
- polynom - Polynomial division code - TeX - LaTeX Stack Exchange
- polynom - Polynomial division code - TeX - LaTeX Stack Exchange
- LaTex code for Polynomial Division in Ascending Powers - TeX - LaTeX ...
- math mode - Multivariate polynomial long division in LaTex - TeX ...
- math mode - Multivariate polynomial long division in LaTex - TeX ...