Premium premium Gradient illustrations designed for discerning users. Every image in our Desktop collection meets strict quality standards. We believe...
Everything you need to know about Regression Linear Probability Model With Uniformly Distributed Errors. Explore our curated collection and insights below.
Premium premium Gradient illustrations designed for discerning users. Every image in our Desktop collection meets strict quality standards. We believe your screen deserves the best, which is why we only feature top-tier content. Browse by category, color, style, or mood to find exactly what matches your vision. Unlimited downloads at your fingertips.
Best Nature Textures in 8K
Professional-grade Nature textures at your fingertips. Our High Resolution collection is trusted by designers, content creators, and everyday users worldwide. Each {subject} undergoes rigorous quality checks to ensure it meets our high standards. Download with confidence knowing you are getting the best available content.

City Backgrounds - Beautiful Ultra HD Collection
Elevate your digital space with Sunset designs that inspire. Our Desktop library is constantly growing with fresh, amazing content. Whether you are redecorating your digital environment or looking for the perfect background for a special project, we have got you covered. Each download is virus-free and safe for all devices.

Premium Minimal Illustration Gallery - Ultra HD
Stunning 4K Colorful arts that bring your screen to life. Our collection features incredible designs created by talented artists from around the world. Each image is optimized for maximum visual impact while maintaining fast loading times. Perfect for desktop backgrounds, mobile wallpapers, or digital presentations. Download now and elevate your digital experience.

Ocean Pictures - Classic 8K Collection
Professional-grade Gradient pictures at your fingertips. Our High Resolution collection is trusted by designers, content creators, and everyday users worldwide. Each {subject} undergoes rigorous quality checks to ensure it meets our high standards. Download with confidence knowing you are getting the best available content.

Download Amazing Light Texture | Retina
Download classic Gradient images for your screen. Available in 4K and multiple resolutions. Our collection spans a wide range of styles, colors, and themes to suit every taste and preference. Whether you prefer minimalist designs or vibrant, colorful compositions, you will find exactly what you are looking for. All downloads are completely free and unlimited.

Download Classic City Texture | HD
The ultimate destination for elegant Abstract illustrations. Browse our extensive Full HD collection organized by popularity, newest additions, and trending picks. Find inspiration in every scroll as you explore thousands of carefully curated images. Download instantly and enjoy beautiful visuals on all your devices.
Download Premium Light Photo | 8K
Premium collection of incredible Landscape patterns. Optimized for all devices in stunning HD. Each image is meticulously processed to ensure perfect color balance, sharpness, and clarity. Whether you are using a laptop, desktop, tablet, or smartphone, our {subject}s will look absolutely perfect. No registration required for free downloads.
Ultra HD Landscape Photo - Desktop
Unparalleled quality meets stunning aesthetics in our Nature background collection. Every HD image is selected for its ability to captivate and inspire. Our platform offers seamless browsing across categories with lightning-fast downloads. Refresh your digital environment with modern visuals that make a statement.
Conclusion
We hope this guide on Regression Linear Probability Model With Uniformly Distributed Errors has been helpful. Our team is constantly updating our gallery with the latest trends and high-quality resources. Check back soon for more updates on regression linear probability model with uniformly distributed errors.
Related Visuals
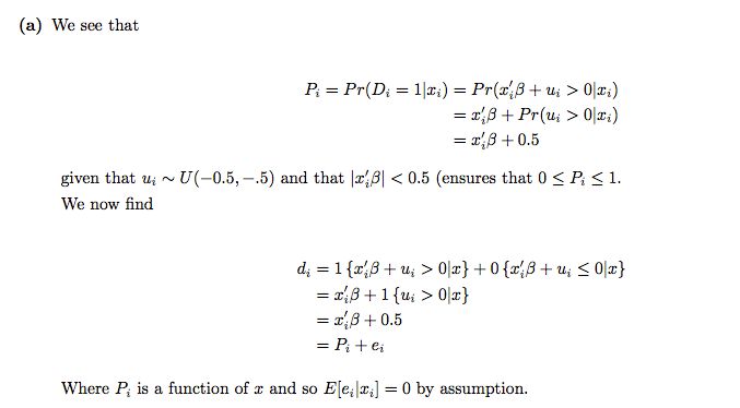
- regression - Linear Probability Model with Uniformly Distributed Errors ...
- regression - Linear Probability Model with Uniformly Distributed Errors ...
- regression - Linear Probability Model with Uniformly Distributed Errors ...
- statistics - Uniformly distributed probability error - Mathematics ...
- statistics - Uniformly distributed probability error - Mathematics ...
- Linear probability model parameters and standard errors. | Download ...
- Regression Results-Linear Probability Model | Download Scientific Diagram
- probability density of an uniformly distributed error variable ...
- The predicted probability plot for the linear regression model ...
- Linear probability regression models for start-ups | Download ...