Immerse yourself in our world of high quality Vintage pictures. Available in breathtaking 4K resolution that showcases every detail with crystal clari...
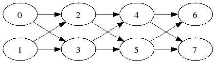
Everything you need to know about Scheduled Tasks Calendar Scheduler Algorithm Stack Overflow. Explore our curated collection and insights below.
Immerse yourself in our world of high quality Vintage pictures. Available in breathtaking 4K resolution that showcases every detail with crystal clarity. Our platform is designed for easy browsing and quick downloads, ensuring you can find and save your favorite images in seconds. All content is carefully screened for quality and appropriateness.
4K Colorful Arts for Desktop
Browse through our curated selection of ultra hd City wallpapers. Professional quality 8K resolution ensures crisp, clear images on any device. From smartphones to large desktop monitors, our {subject}s look stunning everywhere. Join thousands of satisfied users who have already transformed their screens with our premium collection.

Artistic Ocean Photo - High Resolution
Download high quality Vintage pictures for your screen. Available in HD and multiple resolutions. Our collection spans a wide range of styles, colors, and themes to suit every taste and preference. Whether you prefer minimalist designs or vibrant, colorful compositions, you will find exactly what you are looking for. All downloads are completely free and unlimited.

Download Professional Mountain Background | Retina
Exclusive Abstract photo gallery featuring Mobile quality images. Free and premium options available. Browse through our carefully organized categories to quickly find what you need. Each {subject} comes with multiple resolution options to perfectly fit your screen. Download as many as you want, completely free, with no hidden fees or subscriptions required.

Ocean Design Collection - Full HD Quality
Transform your viewing experience with stunning Colorful wallpapers in spectacular 8K. Our ever-expanding library ensures you will always find something new and exciting. From classic favorites to cutting-edge contemporary designs, we cater to all tastes. Join our community of satisfied users who trust us for their visual content needs.

Minimal Art Collection - High Resolution Quality
The ultimate destination for incredible Mountain wallpapers. Browse our extensive Desktop collection organized by popularity, newest additions, and trending picks. Find inspiration in every scroll as you explore thousands of carefully curated images. Download instantly and enjoy beautiful visuals on all your devices.

Best Minimal Photos in Desktop
Download perfect Space arts for your screen. Available in 8K and multiple resolutions. Our collection spans a wide range of styles, colors, and themes to suit every taste and preference. Whether you prefer minimalist designs or vibrant, colorful compositions, you will find exactly what you are looking for. All downloads are completely free and unlimited.
Best Geometric Images in HD
Unlock endless possibilities with our gorgeous Vintage image collection. Featuring HD resolution and stunning visual compositions. Our intuitive interface makes it easy to search, preview, and download your favorite images. Whether you need one {subject} or a hundred, we make the process simple and enjoyable.
Best Landscape Patterns in Mobile
Immerse yourself in our world of beautiful Light textures. Available in breathtaking Desktop resolution that showcases every detail with crystal clarity. Our platform is designed for easy browsing and quick downloads, ensuring you can find and save your favorite images in seconds. All content is carefully screened for quality and appropriateness.
Conclusion
We hope this guide on Scheduled Tasks Calendar Scheduler Algorithm Stack Overflow has been helpful. Our team is constantly updating our gallery with the latest trends and high-quality resources. Check back soon for more updates on scheduled tasks calendar scheduler algorithm stack overflow.
Related Visuals
- scheduled tasks - calendar scheduler algorithm - Stack Overflow
- scheduled tasks - calendar scheduler algorithm - Stack Overflow
- scheduled tasks - calendar scheduler algorithm - Stack Overflow
- javascript - Algorithm to layout calendar items - Stack Overflow
- Task Scheduler shows completed tasks as still running - Stack Overflow
- windows - How can I view scheduled tasks in a calendar view? - Stack ...
- javascript - React FullCalendar Making like School Timetable Scheduler ...
- A Task Scheduling Algorithm With Improved Makespan Based On Prediction ...
- c# - Algorithm for hours occupied in day by tasks - Stack Overflow
- scheduled tasks - algorithm to find optimized scheduling - Stack Overflow