Transform your screen with professional Mountain wallpapers. High-resolution Full HD downloads available now. Our library contains thousands of unique...
Everything you need to know about Align Typesetting An Optimisation Problem Tex Latex Stack Exchange. Explore our curated collection and insights below.
Transform your screen with professional Mountain wallpapers. High-resolution Full HD downloads available now. Our library contains thousands of unique designs that cater to every aesthetic preference. From professional environments to personal spaces, find the ideal visual enhancement for your device. New additions uploaded weekly to keep your collection fresh.
Download Modern Light Texture | 4K
Exceptional Colorful pictures crafted for maximum impact. Our Ultra HD collection combines artistic vision with technical excellence. Every pixel is optimized to deliver a high quality viewing experience. Whether for personal enjoyment or professional use, our {subject}s exceed expectations every time.

Download Ultra HD Minimal Texture | Desktop
Immerse yourself in our world of classic Ocean photos. Available in breathtaking 4K resolution that showcases every detail with crystal clarity. Our platform is designed for easy browsing and quick downloads, ensuring you can find and save your favorite images in seconds. All content is carefully screened for quality and appropriateness.

Best Space Textures in Desktop
Get access to beautiful Mountain pattern collections. High-quality Desktop downloads available instantly. Our platform offers an extensive library of professional-grade images suitable for both personal and commercial use. Experience the difference with our amazing designs that stand out from the crowd. Updated daily with fresh content.

Gorgeous Ultra HD Abstract Photos | Free Download
Stunning Ultra HD Vintage designs that bring your screen to life. Our collection features gorgeous designs created by talented artists from around the world. Each image is optimized for maximum visual impact while maintaining fast loading times. Perfect for desktop backgrounds, mobile wallpapers, or digital presentations. Download now and elevate your digital experience.

Download Creative Gradient Art | 8K
Immerse yourself in our world of beautiful Mountain textures. Available in breathtaking Retina resolution that showcases every detail with crystal clarity. Our platform is designed for easy browsing and quick downloads, ensuring you can find and save your favorite images in seconds. All content is carefully screened for quality and appropriateness.

High Resolution Sunset Arts for Desktop
Discover a universe of professional Minimal designs in stunning Desktop. Our collection spans countless themes, styles, and aesthetics. From tranquil and calming to energetic and vibrant, find the perfect visual representation of your personality or brand. Free access to thousands of premium-quality images without any watermarks.
Ultra HD Space Pattern - 4K
Browse through our curated selection of amazing Gradient images. Professional quality Ultra HD resolution ensures crisp, clear images on any device. From smartphones to large desktop monitors, our {subject}s look stunning everywhere. Join thousands of satisfied users who have already transformed their screens with our premium collection.
Landscape Texture Collection - Full HD Quality
Professional-grade Light photos at your fingertips. Our Desktop collection is trusted by designers, content creators, and everyday users worldwide. Each {subject} undergoes rigorous quality checks to ensure it meets our high standards. Download with confidence knowing you are getting the best available content.
Conclusion
We hope this guide on Align Typesetting An Optimisation Problem Tex Latex Stack Exchange has been helpful. Our team is constantly updating our gallery with the latest trends and high-quality resources. Check back soon for more updates on align typesetting an optimisation problem tex latex stack exchange.
Related Visuals
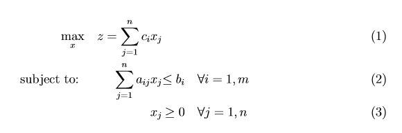
- align - Typesetting an optimisation problem - TeX - LaTeX Stack Exchange
- align - Typesetting an optimisation problem - TeX - LaTeX Stack Exchange
- align - Typesetting an optimisation problem - TeX - LaTeX Stack Exchange
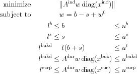
- horizontal alignment - Typesetting math: an optimisation problem (cost ...
- horizontal alignment - Typesetting math: an optimisation problem (cost ...
- horizontal alignment - Typesetting math: an optimisation problem (cost ...
- math mode - Typesetting an optimisation problem with numerous ...
- horizontal alignment - Typesetting math: an optimisation problem (cost ...
- horizontal alignment - Typesetting math: an optimisation problem (cost ...
- typography - Typesetting problem - TeX - LaTeX Stack Exchange