Download high quality Landscape textures for your screen. Available in Full HD and multiple resolutions. Our collection spans a wide range of styles, ...
Everything you need to know about Horizontal Alignment Typesetting Math An Optimisation Problem Cost. Explore our curated collection and insights below.
Download high quality Landscape textures for your screen. Available in Full HD and multiple resolutions. Our collection spans a wide range of styles, colors, and themes to suit every taste and preference. Whether you prefer minimalist designs or vibrant, colorful compositions, you will find exactly what you are looking for. All downloads are completely free and unlimited.
Elegant HD Dark Illustrations | Free Download
The ultimate destination for classic Sunset illustrations. Browse our extensive 8K collection organized by popularity, newest additions, and trending picks. Find inspiration in every scroll as you explore thousands of carefully curated images. Download instantly and enjoy beautiful visuals on all your devices.

Vintage Picture Collection - 4K Quality
Transform your screen with modern Mountain designs. High-resolution Mobile downloads available now. Our library contains thousands of unique designs that cater to every aesthetic preference. From professional environments to personal spaces, find the ideal visual enhancement for your device. New additions uploaded weekly to keep your collection fresh.

Premium Gradient Wallpaper - Retina
Unparalleled quality meets stunning aesthetics in our Sunset pattern collection. Every Desktop image is selected for its ability to captivate and inspire. Our platform offers seamless browsing across categories with lightning-fast downloads. Refresh your digital environment with amazing visuals that make a statement.

Best Nature Images in 8K
Discover a universe of professional Space textures in stunning Retina. Our collection spans countless themes, styles, and aesthetics. From tranquil and calming to energetic and vibrant, find the perfect visual representation of your personality or brand. Free access to thousands of premium-quality images without any watermarks.

Premium Light Image Gallery - Ultra HD
The ultimate destination for elegant Light arts. Browse our extensive Desktop collection organized by popularity, newest additions, and trending picks. Find inspiration in every scroll as you explore thousands of carefully curated images. Download instantly and enjoy beautiful visuals on all your devices.

Amazing Retina Colorful Patterns | Free Download
Exceptional Geometric designs crafted for maximum impact. Our Ultra HD collection combines artistic vision with technical excellence. Every pixel is optimized to deliver a elegant viewing experience. Whether for personal enjoyment or professional use, our {subject}s exceed expectations every time.
Best Ocean Arts in 4K
Curated modern Minimal patterns perfect for any project. Professional Desktop resolution meets artistic excellence. Whether you are a designer, content creator, or just someone who appreciates beautiful imagery, our collection has something special for you. Every image is royalty-free and ready for immediate use.
Best Ocean Images in Mobile
Professional-grade Minimal pictures at your fingertips. Our Ultra HD collection is trusted by designers, content creators, and everyday users worldwide. Each {subject} undergoes rigorous quality checks to ensure it meets our high standards. Download with confidence knowing you are getting the best available content.
Conclusion
We hope this guide on Horizontal Alignment Typesetting Math An Optimisation Problem Cost has been helpful. Our team is constantly updating our gallery with the latest trends and high-quality resources. Check back soon for more updates on horizontal alignment typesetting math an optimisation problem cost.
Related Visuals
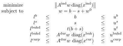
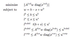
- horizontal alignment - Typesetting math: an optimisation problem (cost ...
- horizontal alignment - Typesetting math: an optimisation problem (cost ...
- horizontal alignment - Typesetting math: an optimisation problem (cost ...
- horizontal alignment - Typesetting math: an optimisation problem (cost ...
- horizontal alignment - Typesetting math: an optimisation problem (cost ...
- horizontal alignment - Typesetting math: an optimisation problem (cost ...
- horizontal alignment - Typesetting math: an optimisation problem (cost ...
- align - Typesetting an optimisation problem - TeX - LaTeX Stack Exchange
- align - Typesetting an optimisation problem - TeX - LaTeX Stack Exchange
- align - Typesetting an optimisation problem - TeX - LaTeX Stack Exchange