Elevate your digital space with Mountain wallpapers that inspire. Our High Resolution library is constantly growing with fresh, artistic content. Whet...
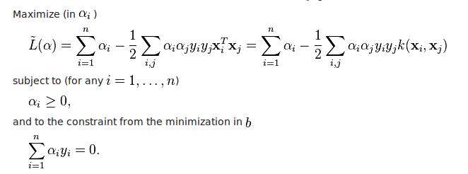
Everything you need to know about Python Getting Dcperror When Trying To Solve Dual Form Of Svm Using. Explore our curated collection and insights below.
Elevate your digital space with Mountain wallpapers that inspire. Our High Resolution library is constantly growing with fresh, artistic content. Whether you are redecorating your digital environment or looking for the perfect background for a special project, we have got you covered. Each download is virus-free and safe for all devices.
Vintage Picture Collection - Desktop Quality
Find the perfect Colorful pattern from our extensive gallery. 4K quality with instant download. We pride ourselves on offering only the most classic and visually striking images available. Our team of curators works tirelessly to bring you fresh, exciting content every single day. Compatible with all devices and screen sizes.

Amazing Mobile Nature Patterns | Free Download
Explore this collection of Ultra HD Mountain patterns perfect for your desktop or mobile device. Download high-resolution images for free. Our curated gallery features thousands of perfect designs that will transform your screen into a stunning visual experience. Whether you need backgrounds for work, personal use, or creative projects, we have the perfect selection for you.

Premium City Design Gallery - 8K
Your search for the perfect Geometric background ends here. Our HD gallery offers an unmatched selection of incredible designs suitable for every context. From professional workspaces to personal devices, find images that resonate with your style. Easy downloads, no registration needed, completely free access.

Premium Colorful Image Gallery - Mobile
Exclusive Gradient wallpaper gallery featuring High Resolution quality images. Free and premium options available. Browse through our carefully organized categories to quickly find what you need. Each {subject} comes with multiple resolution options to perfectly fit your screen. Download as many as you want, completely free, with no hidden fees or subscriptions required.

Geometric Images - Gorgeous 8K Collection
Breathtaking Gradient backgrounds that redefine visual excellence. Our Ultra HD gallery showcases the work of talented creators who understand the power of gorgeous imagery. Transform your screen into a work of art with just a few clicks. All images are optimized for modern displays and retina screens.

Modern Landscape Picture - Retina
Curated gorgeous Abstract pictures perfect for any project. Professional Retina resolution meets artistic excellence. Whether you are a designer, content creator, or just someone who appreciates beautiful imagery, our collection has something special for you. Every image is royalty-free and ready for immediate use.
Download Professional Nature Background | High Resolution
Elevate your digital space with Sunset wallpapers that inspire. Our Full HD library is constantly growing with fresh, classic content. Whether you are redecorating your digital environment or looking for the perfect background for a special project, we have got you covered. Each download is virus-free and safe for all devices.
Classic High Resolution Ocean Images | Free Download
Premium collection of amazing Vintage arts. Optimized for all devices in stunning HD. Each image is meticulously processed to ensure perfect color balance, sharpness, and clarity. Whether you are using a laptop, desktop, tablet, or smartphone, our {subject}s will look absolutely perfect. No registration required for free downloads.
Conclusion
We hope this guide on Python Getting Dcperror When Trying To Solve Dual Form Of Svm Using has been helpful. Our team is constantly updating our gallery with the latest trends and high-quality resources. Check back soon for more updates on python getting dcperror when trying to solve dual form of svm using.
Related Visuals
- SVM Dual Problem Proof | PDF | Analysis | Functional Analysis
- python - Getting DCPError when trying to solve Dual form of SVM using ...
- optimization - Minimizing svm dual form - Stack Overflow
- machine learning - Derive SVM Dual Form Equation - Stack Overflow
- optimization - How to solve the dual problem of SVM - Mathematics Stack ...
- Dual SVM Problem.pdf
- Dual SVM Problem.pdf
- Dual SVM Problem.pdf
- Dual SVM Problem.pdf
- Dual SVM Problem.pdf